C. P. Wormell [Wor] improves on
Willans's formulas by avoiding both trigonometric functions and the floor
function. Wormell's formula can in principle be evaluated by a simple computer
program that uses only integer arithmetic. The derivation does not use Wilson's
theorem. Wormell starts with, for x 
2,
![]()
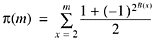
Thus, the number of primes 
m is given
by
![]()
because the summand is the predicate "x is prime."
Observe that, for n
1, a 
0,
![]()
Repeating a trick above, the predicate a < n is

Because
![]()
we have, upon factoring constants out of summations,

As promised, Wormell's formula does not use trigonometric functions. However, as he points out, if the powers of -1 were expanded using (-1)n = cospn, they would reappear.