Next Chapter Return to Table of Contents Previous Chapter

CHAPTER 33: NUMBER-THEORETIC ALGORITHMS

Number theory was once viewed as a beautiful but largely useless subject in pure mathematics. Today number-theoretic algorithms are used widely, due in part to the invention of cryptographic schemes based on large prime numbers. The feasibility of these schemes rests on our ability to find large primes easily, while their security rests on our inability to factor the product of large primes. This chapter presents some of the number theory and associated algorithms that underlie such applications.

Section 33.1 introduces basic concepts of number theory, such as divisibility, modular equivalence, and unique factorization. Section 33.2 studies one of the world's oldest algorithms: Euclid's algorithm for computing the greatest common divisor of two integers. Section 33.3 reviews concepts of modular arithmetic. Section 33.4 then studies the set of multiples of a given number a, modulo n, and shows how to find all solutions to the equation ax b (mod n) by using Euclid's algorithm. The Chinese remainder theorem is presented in Section 33.5. Section 33.6 considers powers of a given number a, modulo n, and presents a repeated-squaring algorithm for efficiently computing ab mod n, given a, b, and n. This operation is at the heart of efficient primality testing. Section 33.7 then describes the RSA public-key cryptosystem. Section 33.8 describes a randomized primality test that can be used to find large primes efficiently, an essential task in creating keys for the RSA cryptosystem. Finally, Section 33.9 reviews a simple but effective heuristic for factoring small integers. It is a curious fact that factoring is one problem people may wish to be intractable, since the security of RSA depends on the difficulty of factoring large integers.

Size of inputs and cost of arithmetic computations

Because we shall be working with large integers, we need to adjust how we think about the size of an input and about the cost of elementary arithmetic operations.

In this chapter, a "large input" typically means an input containing "large integers" rather than an input containing "many integers" (as for sorting). Thus, we shall measure the size of an input in terms of the number of bits required to represent that input, not just the number of integers in the input. An algorithm with integer inputs a1, a2, . . . , ak is a polynomial-time algorithm if it runs in time polynomial in lg a1, lg a2, . . . , lg ak, that is, polynomial in the lengths of its binary-encoded inputs.

In most of this book, we have found it convenient to think of the elementary arithmetic operations (multiplications, divisions, or computing remainders) as primitive operations that take one unit of time. By counting the number of such arithmetic operations an algorithm performs, we have a basis for making a reasonable estimate of the algorithm's actual running time on a computer. Elementary operations can be time-consuming, however, when their inputs are large. It thus becomes convenient to measure how many bit operations a number-theoretic algorithm requires. In this model, a multiplication of two -bit integers by the ordinary method uses (2) bit operations. Similarly, the operation of dividing a -bit integer by a shorter integer, or the operation of taking the remainder of a -bit integer when divided by a shorter integer, can be performed in time (2) by simple algorithms. (See Exercise 33.1-11.) Faster methods are known. For example, a simple divide-and-conquer method for multiplying two -bit integers has a running time of (lg2 3), and the fastest known method has a running time of ( lg lg lg ). For practical purposes, however, the (2) algorithm is often best, and we shall use this bound as a basis for our analyses.

In this chapter, algorithms are generally analyzed in terms of both the number of arithmetic operations and the number of bit operations they require.

33.1 Elementary number-theoretic notions

This section provides a brief review of notions from elementary number theory concerning the set Z = {. . . , -2, -1, 0, 1, 2, . . .} of integers and the set N = {0, 1, 2, . . .} of natural numbers.

Divisibility and divisors

The notion of one integer being divisible by another is a central one in the theory of numbers. The notation d | a (read "d divides a") means that a = kd for some integer k. Every integer divides 0. If a > 0 and d | a, then |d| |a|. If d | a, then we also say that a is a multiple of d. If d does not divide a, we write .

If d | a and d 0, we say that d is a divisor of a. Note that d | a if and only if -d | a, so that no generality is lost by defining the divisors to be nonnegative, with the understanding that the negative of any divisor of a also divides a. A divisor of an integer a is at least 1 but not greater than |a|. For example, the divisors of 24 are 1, 2, 3, 4, 6, 8, 12, and 24.

Every integer a is divisible by the trivial divisors 1 and a. Nontrivial divisors of a are also called factors of a. For example, the factors of 20 are 2, 4, 5, and 10.

Prime and composite numbers

An integer a > 1 whose only divisors are the trivial divisors 1 and a is said to be a prime number (or, more simply, a prime). Primes have many special properties and play a critical role in number theory. The small primes, in order, are

2, 3, 5, 7, 11, 13, 17, 19, 23, 29, 31, 37, 41, 43, 47, 53, 59,... .

Exercise 33.1-1 asks you to prove that there are infinitely many primes. An integer a > 1 that is not prime is said to be a composite number (or, more simply, a composite). For example, 39 is composite because 3 | 39. The integer 1 is said to be a unit and is neither prime nor composite. Similarly, the integer 0 and all negative integers are neither prime nor composite.

The division theorem, remainders, and modular equivalence

Given an integer n, the integers can be partitioned into those that are multiples of n and those that are not multiples of n. Much number theory is based upon a refinement of this partition obtained by classifying the nonmultiples of n according to their remainders when divided by n. The following theorem is the basis for this refinement. The proof of this theorem will not be given here (see, for example, Niven and Zuckerman [151]).

Theorem 33.1

For any integer a and any positive integer n, there are unique integers q and r such that 0 r < n and a = qn + r.

The value q = a/n is the quotient of the division. The value r = a mod n is the remainder (or residue) of the division. We have that n | a if and only if a mod n = 0. It follows that

a = a/n n + (a mod n)

(33.1)

or

a mod n = a - a/n n .

(33.2)

Given a well-defined notion of the remainder of one integer when divided by another, it is convenient to provide special notation to indicate equality of remainders. If (a mod n) = (b mod n), we write a b (mod n) and say that a is equivalent to b, modulo n. In other words, a b (mod n) if a and b have the same remainder when divided by n. Equivalently, a b (mod n) if and only if n | (b - a). We write a b (mod n) if a is not equivalent to b, modulo n. For example, 61 6 (mod 11). Also, -13 22 2 (mod 5).

The integers can be divided into n equivalence classes according to their remainders modulo n. The equivalence class modulo n containing an integer a is

[a]n = {a + kn : k  Z} .

For example, [3]7 = {. . . , -11, -4, 3, 10, 17, . . .}; other denotations for this set are [-4]7 and [10]7. Writing a [b]n is the same as writing a b (mod n). The set of all such equivalence classes is

Zn = {[a]n : 0  a  n - 1}.

(33.3)

One often sees the definition

Zn = {0, 1,..., n - 1},

(33.4)

which should be read as equivalent to equation (33.3) with the understanding that 0 represents [0]n, 1 represents [1]n, and so on; each class is represented by its least nonnegative element. The underlying equivalence classes must be kept in mind, however. For example, a reference to - 1 as a member of Zn is a reference to [n - 1]n, since - 1 n - 1 (mod n).

Common divisors and greatest common divisors

If d is a divisor of a and also a divisor of b, then d is a common divisor of a and b. For example, the divisors of 30 are 1, 2, 3, 5, 6, 10, 15, and 30, and so the common divisors of 24 and 30 are 1, 2, 3, and 6. Note that 1 is a common divisor of any two integers.

An important property of common divisors is that

d | a and d | b implies d | (a + b) and d | (a - b).

(33.5)

More generally, we have that

d | a and d | b implies d | (ax + by)

(33.6)

for any integers x and y. Also, if a | b, then either |a| |b| or b = 0, which implies that

a | b and b | a implies a = b.

(33.7)

The greatest common divisor of two integers a and b, not both zero, is the largest of the common divisors of a and b; it is denoted gcd(a, b). For example, gcd(24, 30) = 6, gcd(5, 7) = 1, and gcd(0, 9) = 9. If a and b are not both 0, then gcd(a, b) is an integer between 1 and min(|a|, |b|). We define gcd(0, 0) to be 0; this definition is necessary to make standard properties of the gcd function (such as equation (33.11) below) universally valid.

The following are elementary properties of the gcd function:

gcd(a,b) = gcd(b,a),

(33.8)

gcd(a,b) = gcd(-a,b),

(33.9)

gcd(a,b) = gcd(|a| , |b|),

(33.10)

gcd(a,0) = |a|,

(33.11)

gcd(a,ka) = |a|       for any k  Z.

(33.12)

Theorem 33.2

If a and b are any integers, not both zero, then gcd(a, b) is the smallest positive element of the set {ax + by : x, y Z}of linear combinations of a and b.

Proof Let s be the smallest positive such linear combination of a and b, and let s = ax + by for some x, y Z. Let q = a/s. Equation (33.2) then implies

a mod s  =  a - qs

=  a - q(ax + by)

=  a(1 - qx) + b(-qy),

and thus a mod s is a linear combination of a and b as well. But, since a mod s < s, we have that a mod s = 0, because s is the smallest positive such linear combination. Therefore, s | a and, by analogous reasoning, s | b. Thus, s is a common divisor of a and b, and so gcd(a, b) s. Equation (33.6) implies that gcd(a, b) | s, since gcd(a, b) divides both a and b and s is a linear combination of a and b. But gcd(a, b) | s and s > 0 imply that gcd(a, b) s. Combining gcd(a, b) s and gcd(a, b) s yields gcd(a, b) = s; we conclude that s is the greatest common divisor of a and b.

Corollary 33.3

For any integers a and b, if d | a and d | b then d | gcd(a, b) .

Proof This corollary follows from equation (33.6), because gcd(a, b) is a linear combination of a and b by Theorem 33.2.

Corollary 33.4

For all integers a and b and any nonnegative integer n,

gcd(an, bn) = n gcd(a, b).

Proof If n = 0, the corollary is trivial. If n > 0, then gcd(an, bn) is the smallest positive element of the set {anx + bny}, which is n times the smallest positive element of the set {ax + by}.

Corollary 33.5

For all positive integers n, a, and b, if n | ab and gcd(a, n) = 1, then n | b.

Proof The proof is left as Exercise 33.1-4.

Relatively prime integers

Two integers a, b are said to be relatively prime if their only common divisor is 1, that is, if gcd(a, b) = 1. For example, 8 and 15 are relatively prime, since the divisors of 8 are 1, 2, 4, and 8, while the divisors of 15 are 1, 3, 5, and 15. The following theorem states that if two integers are each relatively prime to an integer p, then their product is relatively prime to p.

Theorem 33.6

For any integers a, b, and p, if gcd(a, p) = 1 and gcd(b, p) = 1, then gcd(ab, p) = 1.

Proof It follows from Theorem 33.2 that there exist integers x, y, x', and y' such that

ax + py  =  1,

bx' + py'  =  1.

Multiplying these equations and rearranging, we have

ab(xx') + p(ybx' + y'ax + pyy') = 1.

Since 1 is thus a positive linear combination of ab and p, an appeal to Theorem 33.2 completes the proof.

We say that integers n1, n2, . . ., nk are pairwise relatively prime if, whenever i j, we have gcd(ni, nj) = 1.

Unique factorization

An elementary but important fact about divisibility by primes is the following.

Theorem 33.7

For all primes p and all integers a, b, if p | ab, then p | a or p | b.

Proof Assume for the purpose of contradiction that p | ab but that . Thus, gcd(a, p) = 1 and gcd(b, p) = 1, since the only divisors of p are 1 and p, and by assumption p divides neither a nor b. Theorem 33.6 then implies that gcd(ab, p) = 1, contradicting our assumption that p | ab, since p | ab implies gcd(ab, p) = p. This contradiction completes the proof.

A consequence of Theorem 33.7 is that an integer has a unique factorization into primes.

Theorem 33.8

A composite integer a can be written in exactly one way as a product of the form

where the pi are prime, p1 < p2 < . . . < pr, and the ei are positive integers.

Proof The proof is left Exercise 33.1-10.

As an example, the number 6000 can be uniquely factored as 24.3.53.

Exercises

33.1-1

Prove that there are infinitely many primes. (Hint: Show that none of the primes p1, p2, . . . , pk divide (p1p2 . . . pk) + 1.)

33.1-2

Prove that if a | b and b | c, then a | c.

33.1-3

Prove that if p is prime and 0 < k < p, then gcd (k, p) = 1.

33.1-4

Prove Corollary 33.5.

33.1-5

Prove that if p is prime and 0 < k < p, then . Conclude that for all integers a, b, and primes p,

(a + b)p  ap + bp (mod p).

33.1-6

Prove that if a and b are any integers such that a | b and b > 0, then

(x mod b) mod a = x mod a

for any x. Prove, under the same assumptions, that

x  y (mod b) implies x  y (mod a)

for any integers x and y.

33.1-7

For any integer k > 0, we say that an integer n is a kth power if there exists an integer a such that ak = n. We say that n > 1 is a nontrivial power if it is a kth power for some integer k > 1. Show how to determine if a given -bit integer n is a nontrivial power in time polynomial in .

33.1-8

Prove equations (33.8)--(33.12).

33.1-9

Show that the gcd operator is associative. That is, prove that for all integers a, b, and c,

gcd(a, gcd(b, c)) = gcd(gcd(a, b), c) .

33.1-10

Prove Theorem 33.8.

33.1-11

Give efficient algorithms for the operations of dividing a -bit integer by a shorter integer and of taking the remainder of a -bit integer when divided by a shorter integer. Your algorithms should run in time O(2).

33.1-12

Give an efficient algorithm to convert a given -bit (binary) integer to a decimal representation. Argue that if multiplication or division of integers whose length is at most takes time M(), then binary-to-decimal conversion can be performed in time (M() lg ). (Hint: Use a divide-and-conquer approach, obtaining the top and bottom halves of the result with separate recursions.)

33.2 Greatest common divisor

In this section, we use Euclid's algorithm to compute the greatest common divisor of two integers efficiently. The analysis of running time brings up a surprising connection with the Fibonacci numbers, which yield a worst-case input for Euclid's algorithm.

We restrict ourselves in this section to nonnegative integers. This restriction is justified by equation (33.10), which states that gcd(a,b) = gcd(|a|, |b|).

In principle, we can compute gcd(a, b) for positive integers a and b from the prime factorizations of a and b. Indeed, if

(33.13)

(33.14)

with zero exponents being used to make the set of primes p1, p2, . . . , pr the same for both a and b, then

(33.15)

As we shall show in Section 33.9, the best algorithms to date for factoring do not run in polynomial time. Thus, this approach to computing greatest common divisors seems unlikely to yield an efficient algorithm.

Euclid's algorithm for computing greatest common divisors is based on the following theorem.

Theorem 33.9

For any nonnegative integer a and any positive integer b,

gcd(a,b) = gcd(b,a mod b) .

Proof We shall show that gcd (a, b) and gcd (b, a mod b) divide each other, so that by equation (33.7) they must be equal (since they are both nonnegative).

We first show that gcd (a, b) | gcd(b, a mod b). If we let d = gcd (a, b), then d | a and d | b. By equation (33.2), (a mod b) = a - qb, where q = a/b. Since (a mod b) is thus a linear combination of a and b, equation (33.6) implies that d | (a mod b). Therefore, since d | b and d | (a mod b), Corollary 33.3 implies that d | gcd(b, a mod b) or, equivalently, that

gcd(a, b) | gcd(b, a mod b).

(33.16)

Showing that gcd (b, a mod b) | gcd(a, b) is almost the same. If we now let d = gcd(b, a mod b), then d | b and d | (a mod b). Since a = qb + (a mod b), where q = a/b, we have that a is a linear combination of b and (a mod b). By equation (33.6), we conclude that d | a. Since d | b and d | a, we have that d | gcd(a, b) by Corollary 33.3 or, equivalently, that

gcd (b,a mod b) | gcd(a,b).

(33.17)

Using equation (33.7) to combine equations (33.16) and (33.17) completes the proof.

Euclid's algorithm

The following gcd algorithm is described in the Elements of Euclid (circa 300 B.C.), although it may be of even earlier origin. It is written as a recursive program based directly on Theorem 33.9. The inputs a and b are arbitrary nonnegative integers.

EUCLID (a, b)

1  if b = 0

2      then return a

3      else return EUCLID(b,a mod b)

As an example of the running of EUCLID, consider the computation of gcd (30,21):

EUCLID(30, 21)  =  EUCLID(21, 9)

=  EUCLID(9, 3)

=  EUCLID(3, 0)

=  3 .

In this computation, there are three recursive invocations of EUCLID.

The correctness of EUCLID follows from Theorem 33.9 and the fact that if the algorithm returns a in line 2, then b = 0, so equation (33.11) implies that gcd(a, b) = gcd(a, 0) = a. The algorithm cannot recurse indefinitely, since the second argument strictly decreases in each recursive call. Therefore, EUCLID always terminates with the correct answer.

The running time of Euclid's algorithm

We analyze the worst-case running time of EUCLID as a function of the size of a and b. We assume with little loss of generality that a > b 0. This assumption can be justified by the observation that if b > a 0, then Euclid (a, b) immediately makes the recursive call EUCLID (b, a). That is, if the first argument is less than the second argument, EUCLID spends one recursive call swapping its arguments and then proceeds. Similarly, if b = a > 0, the procedure terminates after one recursive call, since a mod b = 0.

The overall running time of EUCLID is proportional to the number of recursive calls it makes. Our analysis makes use of the Fibonacci numbers Fk, defined by the recurrence (2.13).

Lemma 33.10

If a > b 0 and the invocation Euclid(a, b) performs k 1 recursive calls, then a Fk+2 and b Fk+l.

Proof The proof is by induction on k. For the basis of the induction, let k = 1. Then, b 1 = F2, and since a > b, we must have a 2 = F3. Since b > (a mod b), in each recursive call the first argument is strictly larger than the second; the assumption that a > b therefore holds for each recursive call.

Assume inductively that the lemma is true if k - 1 recursive calls are made; we shall then prove that it is true for k recursive calls. Since k > 0, we have b > 0, and EUCLID (a, b) calls EUCLID (b, a mod b) recursively, which in turn makes k - 1 recursive calls. The inductive hypothesis then implies that b Fk+ 1 (thus proving part of the lemma), and (a mod b) Fk. We have

b + (a mod b)  =  b + (a - a/b b)

  a,

since a > b > 0 implies a/b 1. Thus,

a    b + (a mod b)

  Fk + 1 + Fk

=  Fk+2 .      

The following theorem is an immediate corollary of this lemma.

Theorem 33.11

For any integer k 1, if a > b 0 and b < Fk+1, then the invocation EUCLID (a, b) makes fewer than k recursive calls.

We can show that the upper bound of Theorem 33.11 is the best possible. Consecutive Fibonacci numbers are a worst-case input for EUCLID. Since Euclid (F3, F2) makes exactly one recursive call, and since for k 2 we have Fk+1 mod Fk = Fk-1, we also have

gcd(Fk+1,Fk)  =  gcd(Fk, (Fk+1 mod Fk))

=  gcd(Fk, Fk-1) .

Thus, Euclid(Fk+1,Fk) recurses exactly k - 1 times, meeting the upper bound of Theorem 33.11.

Since Fk is approximately , where is the golden ratio defined by equation (2.14), the number of recursive calls in EUCLID is O(lg b). (See Exercise 33.2-5 for a tighter bound.) It follows that if EUCLID is applied to two -bit numbers, then it will perform O() arithmetic operations and O(3) bit operations (assuming that multiplication and division of -bit numbers take O(2) bit operations). Problem 33-2 asks you to show an O(2) bound on the number of bit operations.

The extended form of Euclid's algorithm

We now rewrite Euclid's algorithm to compute additional useful information. Specifically, we extend the algorithm to compute the integer coefficients x and y such that

d = gcd(a,b) = ax + by .

(33.18)

Note that x and y may be zero or negative. We shall find these coefficients useful later for the computation of modular multiplicative inverses. The

a   b  a/b  d   x     y

-------------------------

99  78   1    3  -11   14

78  21   3    3   3   -11

21  15   1    3   -2   3

15   6   2    3   1    -2

 6   3   2    3   0    1

 3   0   --    3   1    0

Figure 33.1 An example of the operation of EXTENDED-EUCLID on the inputs 99 and 78. Each line shows for one level of the recursion: the values of the inputs a and b, the computed value a/b, and the values d, x, and y returned. The triple (d,x,y) returned becomes the triple (d',x',y') used in the computation at the next higher level of recursion. The call EXTENDED-EUCLID(99, 78) returns (3, -11, 14), so gcd(99, 78) = 3 and gcd(99, 78) = 3 = 99 . (-11) + 78 14.

procedure EXTENDED-EUCLID takes as input an arbitrary pair of integers and returns a triple of the form (d, x, y) that satisfies equation (33.18).

EXTENDED-EUCLID(a, b)

1  f b = 0

2     then return (a, 1, 0)

3  (d',x',y')  EXTENDED-EUCLID(b, a mod b)

4  (d,x,y)  (d',y',x' - a/b y')

5  return (d,x,y)

Figure 33.1 illustrates the execution of EXTENDED-EUCLID with the computation of gcd(99,78).

The EXTENDED-EUCLID procedure is a variation of the EUCLID procedure. Line 1 is equivalent to the test "b = 0" in line 1 of EUCLID. If b = 0, then EXTENDED-EUCLID returns not only d = a in line 2, but also the coefficients x = 1 and y = 0, so that a = ax + by. If b 0, EXTENDED-EUCLID first computes (d', x', y') such that d' = gcd(b, a mod b) and

d' = bx' + (a mod b)y' .

(33.19)

As for EUCLID, we have in this case d = gcd(a, b) = d' = gcd(b, a mod b). To obtain x and y such that d = ax + by, we start by rewriting equation (33.19) using the equation d = d' and equation (33.2):

d  =  bx' + (a - a/b b)y'

= ay' + b(x' - a/b y') .

Thus, choosing x = y' and y = x' - a/b y' satisfies the equation d = ax + by, proving the correctness of EXTENDED-EUCLID.

Since the number of recursive calls made in EUCLID is equal to the number of recursive calls made in EXTENDED-EUCLID, the running times of EUCLID and EXTENDED-EUCLID are the same, to within a constant factor. That is, for a > b > 0, the number of recursive calls is O(lg b).

Exercises

33.2-1

Prove that equations (33.13)--(33.14) imply equation (33.15).

33.2-2

Compute the values (d, x, y) that are output by the invocation EXTENDED-EUCLID(899, 493).

33.2-3

Prove that for all integers a, k, and n,

gcd(a, n) = gcd(a + kn, n).

33.2-4

Rewrite EUCLID in an iterative form that uses only a constant amount of memory (that is, stores only a constant number of integer values).

33.2-5

If a > b 0, show that the invocation EUCLID(a, b) makes at most 1 + logb recursive calls. Improve this bound to 1 +log(b/gcd(a, b)).

33.2-6

What does EXTENDED-EUCLID(Fk + 1, Fk) return? Prove your answer correct.

33.2-7

Verify the output (d, x, y) of EXTENDED-EUCLID(a, b) by showing that if d | a, d | b, and d = ax + by, then d = gcd(a, b).

33.2-8

Define the gcd function for more than two arguments by the recursive equation gcd(a0, al, . . . , n) = gcd(a0, gcd(a1, . . . , an)). Show that gcd returns the same answer independent of the order in which its arguments are specified. Show how to find x0, x1, . . . . , xn such that gcd(a0, a1, . . . , an) = a0x0 + a1x1 + . . . + anxn. Show that the number of divisions performed by your algorithm is O(n + 1g(maxi, ai)).

33.2-9

Define lcm(a1, a2, . . . , an) to be the least common multiple of the integers a1, a2, . . . , an, that is, the least nonnegative integer that is a multiple of each ai. Show how to compute lcm(a1, a2, . . . , an) efficiently using the (two-argument) gcd operation as a subroutine.

33.2-10

Prove that n1, n2, n3, and n4 are pairwise relatively prime if and only if gcd(n1n2, n3n4) = gcd(n1n3, n2n4) = 1. Show more generally that n1, n2, . . . , nk are pairwise relatively prime if and only if a set of lg k pairs of numbers derived from the ni are relatively prime.

33.3 Modular arithmetic

Informally, we can think of modular arithmetic as arithmetic as usual over the integers, except that if we are working modulo n, then every result x is replaced by the element of {0, 1, . . . , n - 1} that is equivalent to x, modulo n (that is, x is replaced by x mod n). This informal model is sufficient if we stick to the operations of addition, subtraction, and multiplication. A more formal model for modular arithmetic, which we now give, is best described within the framework of group theory.

Finite groups

A group (S, ) is a set S together with a binary operation defined on S for which the following properties hold.

1. Closure: For all a, b S, we have a b S.

2. Identity: There is an element e S such that e a = a e = a for all a S.

3. Associativity: For all a, b, c S, we have (a b) c = a (b c).

4. Inverses: For each a S, there exists a unique element b S such that a b = b a = e.

As an example, consider the familiar group (Z, +) of the integers Z under the operation of addition: 0 is the identity, and the inverse of a is -a. If a group (S, ) satisfies the commutative law a b = b a for all a, b S, then it is an abelian group. If a group (S, ) satisfies |S| < , then it is a finite group.

The groups defined by modular addition and multiplication

We can form two finite abelian groups by using addition and multiplication modulo n, where n is a positive integer. These groups are based on the equivalence classes of the integers modulo n, defined in Section 33.1.

To define a group on Zn, we need to have suitable binary operations, which we obtain by redefining the ordinary operations of addition and multiplication. It is easy to define addition and multiplication operations for Zn, because the equivalence class of two integers uniquely determines the equivalence class of their sum or product. That is, if a a' (mod n) and b b' (mod n), then

a + b    a' + b'  (mod n) ,

ab    a'b'    (mod n) .

+6 0  1  2  3  4  5    15   1   2   4   7   8   11   13   14

--------------------   -------------------------------------

0  0  1  2  3  4  5     1   1   2   4   7   8   11   13   14

1  0  2  3  4  5  0     2   2   4   8  14   1    7   11   13

2  0  3  4  5  0  1     4   4   8   1  13   2   14    7   11

3  0  4  5  0  1  2     7   7  14  13   4  11    2    1    8

4  0  5  0  1  2  3     8   8   1   2  11   4   13   14    7

5  5  0  1  2  3  4    11  11   7  14   2  13    1    8    4

                       13  13  11   7   1  14    8    4    2

                       14  14  13  11   8   7    4    2    1

        (a)                            (b)

Figure 33.2 Two finite groups. Equivalence classes are denoted by their representative elements. (a) The group (Z6, +6). (b) The group

Thus, we define addition and multiplication modulo n, denoted +n and .n, as follows:

[a]n + n [b]n  =  [a + b]n ,

[a]n  n[b]n  =  [ab]n .

(Subtraction can be similarly defined on Zn by [a]n - n [b]n = [a - b]n, but division is more complicated, as we shall see.) These facts justify the common and convenient practice of using the least nonnegative element of each equivalence class as its representative when performing computations in Zn. Addition, subtraction, and multiplication are performed as usual on the representatives, but each result x is replaced by the representative of its class (that is, by x mod n).

Using this definition of addition modulo n, we define the additive group modulo n as (Zn, + n). This size of the additive group modulo n is |Zn| = n. Figure 33.2(a) gives the operation table for the group (Z6, + 6).

Theorem 33.12

The system (Zn, + n) is a finite abelian group.

Proof Associativity and commutativity of +n follow from the associativity and commutativity of +:

([a]n + n[b]n) +n[c]n  =  [(a + b) + c]n

=  [a + (b + c)]n

=  [a]n  + n([b]n + n[c]n),

[a]n + n[b]n  =  [a + b]n

=  [b + a]n

=  [b]n + n[a]n .

The identity element of (Zn,+n) is 0 (that is, [0]n). The (additive) inverse of an element a (that is, [a]n) is the element -a (that is, [-a]n or [n - a]n), since [a]n +n [-a]n=[a - a]n=[0]n.

Using the definition of multiplication modulo n, we define the multiplicative group modulo n as . The elements of this group are the set of elements in Zn that are relatively prime to n:

To see that is well defined, note that for 0 a < n, we have a (a+kn) (mod n) for all integers k. By Exercise 33.2-3, therefore, gcd(a, n) = 1 implies gcd(a+kn, n) = 1 for all integers k. Since [a]n = {a + kn : k Z}, the set is well defined. An example of such a group is

where the group operation is multiplication modulo 15. (Here we denote an element [a]15 as a.) Figure 33.2(b) shows the group . For example, 8 11 13 (mod 15), working in . The identity for this group is 1.

Theorem 33.13

The system is a finite abelian group.

Proof Theorem 33.6 implies that is closed. Associativity and commutativity can be proved for .n as they were for +n in the proof of Theorem 33.12. The identity element is [1]n. To show the existence of inverses, let a be an element of and let (d, x, y) be the output of EXTENDED-EUCLID(a, n). Then d = 1, since a , and

ax + ny = 1

or, equivalently,

ax  1 (mod n).

Thus, [x]n is a multiplicative inverse of [a]n, modulo n. The proof that inverses are uniquely defined is deferred until Corollary 33.26.

When working with the groups (Zn,+n) and (Zn, n) in the remainder of this chapter, we follow the convenient practice of denoting equivalence classes by their representative elements and denoting the operations +n and .n by the usual arithmetic notations + and (or juxtaposition) respectively. Also, equivalences modulo n may also be interpreted as equations in Zn. For example, the following two statements are equivalent:

ax    b (mod n) ,

[a]n  n [x]n  =  [b]n .

As a further convenience, we sometimes refer to a group (S, ) merely as S when the operation is understood from context. We may thus refer to the groups (Zn, + n) and as Zn and respectively.

The (multiplicative) inverse of an element a is denoted (a-1 mod n). Division in is defined by the equation a/b ab-1 (mod n). For example, in we have that 7-1 13 (mod 15), since 7 . 13 91 1 (mod 15), so that 4/7 4 . 13 7 (mod 15).

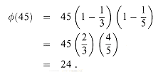
The size of is denoted (n). This function, known as Euler's phi function, satisfies the equation

(33.20)

where p runs over all the primes dividing n (including n itself, if n is prime). We shall not prove this formula here. Intuitively, we begin with a list of the n remainders {0, 1, . . . , n - 1 } and then, for each prime p that divides n, cross out every multiple of p in the list. For example, since the prime divisors of 45 are 3 and 5,

If p is prime, then , and

(p) = p - 1.

(33.21)

If n is composite, then (n) < n - 1.

Subgroups

If (S, ) is a group, S' S, and (S', ) is also a group, then (S', ) is said to be a subgroup of (S, ). For example, the even integers form a subgroup of the integers under the operation of addition. The following theorem provides a useful tool for recognizing subgroups.

Theorem 33.14

If (S, ) is a finite group and S' is any subset of S such that a b S' for all a, b S', then (S',) is a subgroup of (S, ).

Proof The proof is left as Exercise 33.3-2.

For example, the set {0, 2, 4, 6} forms a subgroup of Z8,since it is closed under the operation + (that is, it is closed under +8).

The following theorem provides an extremely useful constraint on the size of a subgroup.

Theorem 33.15

If (S, ) is a finite group and (S, ) is a subgroup of (S, ), then |S'| is a divisor of |S|.

A subgroup S' of a group S is said to be a proper subgroup if S' S. The following corollary will be used in our analysis of the Miller-Rabin primality test procedure in Section 33.8.

Corollary 33.16

If S' is a proper subgroup of a finite group S, then |S'| |S|/2.

Subgroups generated by an element

Theorem 33.14 provides an interesting way to produce a subgroup of a finite group (S, ): choose an element a and take all elements that can be generated from a using the group operation. Specifically, define a(k) for k 1 by

For example, if we take a = 2 in the group Z6, the sequence a(1), a(2), . . . is

2, 4, 0, 2, 4, 0, 2, 4, 0,... .

In the group Zn, we have a(k) = ka mod n, and in the group , we have a(k) = ak mod n. The subgroup generated by a, denoted a or (a, ), is defined by

a = {a(k): k  1}.

We say that a generates the subgroup a or that a is a generator of a. Since S is finite, a is a finite subset of S, possibly including all of S. Since the associativity of implies

a(i)  a(j) = a(i+j),

a is closed and therefore, by Theorem 33.14, a is a subgroup of S. For example, in Z6,we have

0  =  {0} ,

1  =  {0, 1, 2, 3, 4, 5} ,

2  =  {0, 2, 4} .

Similarly, in , we have

1  =  {1} ,

2  =  {1, 2, 4} ,

3  =  {1, 2, 3, 4, 5, 6} .

The order of a (in the group S), denoted ord(a), is defined as the least t > 0 such that a(t) = e.

Theorem 33.17

For any finite group (S, ) and any a S, the order of an element is equal to the size of the subgroup it generates, or ord(a) = |a|.

Proof Let t = ord(a). Since a(t) = e and a(t+k) = a(t) a(k) = a(k) for k 1, if i > t, then a(i) = a(j) for some j < i. Thus, no new elements are seen after a(t), and a = {a(1),a(2),...,a(t)}. To show that a = t, suppose for the purpose of contradiction that a(i) = a(j) for some i, j satisfying 1 i < j t. Then, a(i+k) = a(j+k) for k 0. But this implies that a(i+(t-j)) = a(j+(t-j)) = e, a contradiction, since i + (t - j) < t but t is the least positive value such that a(t) = e. Therefore, each element of the sequence a(1),a(2), . . . , a(t) is distinct, and a = t.

Corollary 33.18

The sequence a(1), a(2), . . . is periodic with period t = ord(a); that is, a(i) = a(j) if and only if i j (mod t).

It is consistent with the above corollary to define a(0) as e and a(i) as a(i mod t) for all integers i.

Corollary 33.19

If (S, ) is a finite group with identity e, then for all a S,

a(|S|) = e.

Proof Lagrange's theorem implies that ord(a) | |S|, and so |S| 0 (mod t), where t = ord(a).

Exercises

33.3-1

Draw the group operation tables for the groups (Z4, +4) and . Show that these groups are isomorphic by exhibiting a one-to-one correspondence between their elements such that a + b c (mod 4) if and only if (a). (b) (c) (mod 5).

33.3-2

Prove Theorem 33.14.

33.3-3

Show that if p is prime and e is a positive integer, then

(pe) = pe-1(p - 1) .

33.3-4

Show that for any n > 1 and for any , the function fa: defined by fa(x) = ax mod n is a permutation of .

33.3-5

List all of the subgroups of Z9 and of .

33.4 Solving modular linear equations

We now consider the problem of finding solutions to the equation

ax  b (mod n),

(33.22)

where n > 0, an important practical problem. We assume that a, b, and n are given, and we are to find the x's, modulo n, that satisfy equation (33.22). There may be zero, one, or more than one such solution.

Let a denote the subgroup of Zn generated by a. Since a = {a(x): x > 0} = {ax mod n: x > 0}, equation (33.22) has a solution if and only if b a. Lagrange's theorem (Theorem 33.15) tells us that |a| must be a divisor of n. The following theorem gives us a precise characterization of a.

Theorem 33.20

For any positive integers a and n, if d = gcd(a, n), then

a = d = {0, d, 2d,..., ((n/d)- l)d},

(33.23)

and thus

|a| = n/d .

Proof We begin by showing that d a. Observe that EXTENDED EUCLID(a, n) produces integers x' and y' such that ax' + ny' = d. Thus, ax' d (mod n), so that d a.

Since d a, it follows that every multiple of d belongs to a, because a multiple of a multiple of a is a multiple of a. Thus, a contains every element in {0, d, 2d, . . . ,((n/d ) - l )d}. That is, d a .

We now show that a d. If m a, then m = ax mod n for some integer x, and so m = ax + ny for some integer y. However, d | a and d | n, and so d | m by equation (33.6). Therefore, m d.

Combining these results, we have that a = d. To see that |(a| = n/d, observe that there are exactly n/d multiples of d between 0 and n - 1, inclusive.

Corollary 33.21

The equation ax b (mod n) is solvable for the unknown x if and only if gcd(a, n) | b.

Corollary 33.22

The equation ax b (mod n) either has d distinct solutions modulo n, where d = gcd(a, n), or it has no solutions.

Proof If ax b (mod n) has a solution, then b a. The sequence ai mod n, for i = 0,1, . . . , is periodic with period |a| = n/d, by Corollary 33.18. If b a, then b appears exactly d times in the sequence ai mod n, for i = 0,1, . . . , n - 1, since the length-(n/d) block of values ( a) is repeated exactly d times as i increases from 0 to n - 1. The indices x of these d positions are the solutions of the equation ax b (mod n).

Theorem 33.23

Let d = gcd(a, n), and suppose that d = ax' + ny' for some integers x' and y' (for example, as computed by EXTENDED EUCLID). If d | b, then the equation ax b (mod n) has as one of its solutions the value x0, where

x0 = x'(b/d) mod n.

Proof Since ax' d (mod n), we have

ax0    ax'(b/d)  (mod n)

  d(b/d)    (mod n)

  b         (mod n) ,

and thus x0 is a solution to ax b (mod n).

Theorem 33.24

Suppose that the equation ax b (mod n) is solvable (that is, d | b, where d = gcd(a, n)) and that x0 is any solution to this equation. Then, this equation has exactly d distinct solutions, modulo n, given by xi = x0 + i(n/d) for i = 1, 2, . . . , d - 1.

Proof Since n/d > 0 and 0 i( n/d) < n for i = 0, 1, . . . , d - 1, the values x0,x1, . . . , xd-1 are all distinct, modulo n. By the periodicity of the sequence ai mod n (Corollary 33.18), if x0 is a solution of ax b (mod n), then every xi is a solution. By Corollary 33.22, there are exactly d solutions, so that x0,xl, . . . , xd-1 must be all of them.

We have now developed the mathematics needed to solve the equation ax b (mod n); the following algorithm prints all solutions to this equation. The inputs a and b are arbitrary integers, and n is an arbitrary positive integer.

MODULAR-LINEAR-EQUATION-SOLVER(a,b,n)

1  (d,x',y')  EXTENDED-EUCLID(a,n)

2  if d | b

3      then x0  x'(b/d) mod n

4           for i  0 to d - 1

5                do print (x0 + i(n/d)) mod n

6      else print "no solutions"

As an example of the operation of this procedure, consider the equation 14x 30 (mod 100) (here, a = 14, b = 30, and n = 100). Calling EXTENDED-EUCLID in line 1, we obtain (d, x, y) = (2,-7,1). Since 2 30, lines 3-5 are executed. In line 3, we compute x0 = (-7)(15) mod 100 = 95. The loop on lines 4-5 prints the two solutions: 95 and 45.

The procedure MODULAR-LINEAR-EQUATION-SOLVER works as follows. Line 1 computes d = gcd(a, n) as well as two values x'' and y'' such that d = ax' + ny', demonstrating that x'' is a solution to the equation ax' d (mod n). If d does not divide b, then the equation ax b (mod n) has no solution, by Corollary 33.21. Line 2 checks if d b; if not, line 6 reports that there are no solutions. Otherwise, line 3 computes a solution x0 to equation (33.22), in accordance with Theorem 33.23. Given one solution, Theorem 33.24 states that the other d - 1 solutions can be obtained by adding multiples of (n/d), modulo n. The for loop of lines 4-5 prints out all d solutions, beginning with x0 and spaced (n/d) apart, modulo n.

The running time of MODULAR-LINEAR-EQUATION-SOLVER is O(lg n + gcd(a,n)) arithmetic operations, since EXTENDED-EUCLID takes O(lg n) arithmetic operations, and each iteration of the for loop of lines 4-5 takes a constant number of arithmetic operations.

The following corollaries of Theorem 33.24 give specializations of particular interest.

Corollary 33.25

For any n > 1, if gcd(a,n) = 1, then the equation ax b (mod n) has a unique solution modulo n.

If b = 1, a common case of considerable interest, the x we are looking for is a multiplicative inverse of a, modulo n.

Corollary 33.26

For any n > 1, if gcd(a, n) = 1, then the equation

ax  1 (mod n)

(33.24)

has a unique solution, modulo n. Otherwise, it has no solution.

Corollary 33.26 allows us to use the notation (a-1 mod n) to refer to the multiplicative inverse of a, modulo n, when a and n are relatively prime. If gcd(a, n) = 1, then one solution to the equation ax 1 (mod n) is the integer x returned by EXTENDED-EUCLID, since the equation

gcd(a, n) = 1 = ax + ny

implies ax 1 (mod n). Thus, (a-1 mod n) can be computed efficiently using EXTENDED-EUCLID.

Exercises

33.4-1

Find all solutions to the equation 35x 10 (mod 50).

33.4-2

Prove that the equation ax ay (mod n) implies x y (mod n) whenever gcd(a, n) = 1. Show that the condition gcd(a, n) = 1 is necessary by supplying a counterexample with gcd(a, n) > 1.

33.4-3

Consider the following change to line 3 of MODULAR-LINEAR-EQUATiON-SOLVER:

3  then x0  x'(b/d) mod (n/d)

Will this work? Explain why or why not.

33.4-4

Let f(x) f0 + f1x + + ftx + . . . + ftxt (mod p) be a polynomial of degree t, with coefficients fi drawn from Zp, where p is prime. We say that a Zp is a zero of f if f(a) 0 (mod p). Prove that if a is a zero of f, then f (x) (x - a)g(x) (mod p) for some polynomial g(x) of degree t - 1. Prove by induction on t that a polynomial f (x) of degree t can have at most t distinct zeros modulo a prime p.

33.5 The Chinese remainder theorem

Around A.D. 100, the Chinese mathematician solved the problem of finding those integers x that leave remainders 2, 3, and 2 when divided by 3, 5, and 7 respectively. One such solution is x = 23; all solutions are of the form 23 + 105k for arbitrary integers k. The "Chinese remainder theorem" provides a correspondence between a system of equations modulo a set of pairwise relatively prime moduli (for example, 3, 5, and 7) and an equation modulo their product (for example, 105).

The Chinese remainder theorem has two major uses. Let the integer n = nl n2 . . . nk, where the factors ni are pairwise relatively prime. First, the Chinese remainder theorem is a descriptive "structure theorem" that describes the structure of Zn as identical to that of the Cartesian product Zn1 XZn2 X . . . X Znk with componentwise addition and multiplication modulo ni in the ith component. Second, this description can often be used to yield efficient algorithms, since working in each of the systems Zni can be more efficient (in terms of bit operations) than working modulo n.

Theorem 33.27

Let n = n1 n2 . . . nk, where the ni are pairwise relatively prime. Consider the correspondence

a  (al, a2, . . . , ak),

(33.25)

where a Zn, ai Zni, and

ai = a mod ni

for i = 1, 2, . . . , k. Then, mapping (33.25) is a one-to-one correspondence (bijection) between Zn and the Cartesian product ZniXZn2 X . . . X Znk. Operations performed on the elements of Zn can be equivalently performed on the corresponding k-tuples by performing the operations independently in each coordinate position in the appropriate system. That is, if

a    (al, a2, . . . , ak) ,

b    (b1, b2, . . . , bk) ,

then

(a + b) mod n  ((al + bl) mod n1, . . . , (ak + bk) mod nk) ,

(33.26)

(a - b) mod n  ((al - bl) mod nl, . . . , (ak - bk) mod nk) ,

(33.27)

(ab) mod n  (a1b1 mod nl, . . . , akbk mod nk) .

(33.28)

Proof Transforming between the two representations is quite straight-forward. Going from a to (al, a2, . . . , ak) requires only k divisions. Computing a from inputs (al, a2, . . . , ak) is almost as easy, using the following formula. Let mi = n/ni for i = 1,2, . . . , k. Note that mi = nln2 . . . ni-lni+l . . . nk, so that mi 0 (mod nj) for all j i. Then, letting

ci = mi(mj-l mod ni)

(33.29)

for i = 1, 2, . . . , k, we have

a  (alc1 + a2c2 + . . . + akck) (mod n) .

(33.30)

Equation 33.29 is well defined, since mi and ni are relatively prime (by Theorem 33.6), and so Corollary 33.26 implies that (mi-l mod ni) is defined. To verify equation (33.30), note that cj mj 0 (mod ni) if j i, and that ci 1 (mod ni). Thus, we have the correspondence

ci  (0, 0, . . . , 0, 1, 0, . . . , 0) ,

a vector that has 0's everywhere except in the ith coordinate, where it has a 1. The ci thus form a "basis" for the representation, in a certain sense. For each i, therefore, we have

Since we can transform in both directions, the correspondence is one-to-one. Equations (33.26)--(33.28) follow directly from Exercise 33.1-6, since x mod ni = (x mod n) mod ni for any x and i = 1, 2, . . . , k.

The following corollaries will be used later in this chapter.

Corollary 33.28

If n1, n2, . . . , nk are pairwise relatively prime and n = n1n2...nk, then for any integers a1, a2, . . . , ak, the set of simultaneous equations

x  ai   (mod ni),

for i = 1, 2, . . . , k, has a unique solution modulo n for the unknown x.

Corollary 33.29

If n1, n2, . . . , nk are pairwise relatively prime and n = n1 n2 . . . nk, then for all integers x and a,

x  a  (mod ni)

for i = 1, 2, . . . , k if and only if

x  a  (mod n) .      

As an example of the Chinese remainder theorem, suppose we are given the two equations

a    2  (mod 5) ,

a    3  (mod 13) ,

so that a1 = 2, n1 = m2 = 5, a2 = 3, and n2 = m1 = 13, and we wish to compute a mod 65, since n = 65. Because 13-1 2 (mod 5) and 5-1 8 (mod 13), we have

c1  =  13(2 mod 5)  =  26 ,

c2  =  5(8 mod 13)  =  40 ,

and

a     2 . 26 + 3  40  (mod 65)

  52 + 120         (mod 65)

  42               (mod 65) .

    0   1   2   3   4   5   6   7   8   9  10  11  12

------------------------------- ---------------------

0   0  40  15  55  30   5  45  20  60  35  10  50  25

1  26   1  41  16  56  31   6  46  21  61  36  11  51

2  52  27   2  42  17  57  32   7  47  22  62  37  12

3  13  53  28   3  43  18  58  33   8  48  23  63  38

4  39  14  54  29   4  44  19  59  34   9  49  24  64

Figure 33.3 An illustration of the Chinese remainder theorem for n1 = 5 and n2 = 13. For this example, c1 = 26 and c2 = 40. In row i, column j is shown the value of a, modulo 65, such that (a mod 5) = i and (a mod 13) = j. Note that row 0, column 0 contains a 0. Similarly, row 4, column 12 contains a 64 (equivalent to - 1). Since c1 = 26, moving down a row increases a by 26. Similarly, c2 = 40 means that moving right a column increases a by 40. Increasing a by 1 corresponds to moving diagonally downward and to the right, wrapping around from the bottom to the top and from the right to the left.

See Figure 33.3 for an illustration of the Chinese remainder theorem, modulo 65.

Thus, we can work modulo n by working modulo n directly or by working in the transformed representation using separate modulo ni computations, as convenient. The computations are entirely equivalent.

Exercises

33.5-1

Find all solutions to the equations x 4 (mod 5) and x 5 (mod 11).

33.5-2

Find all integers x that leave remainders 1, 2, 3, 4, 5 when divided by 2, 3, 4, 5, 6, respectively.

33.5-3

Argue that, under the definitions of Theorem 33.27, if gcd(a, n) = 1, then

33.5-4

Under the definitions of Theorem 33.27, prove that the number of roots of the equation f(x) 0 (mod n) is equal to the product of the number of roots of each the equations f(x) 0 (mod n1), f(x) 0 (mod n2), . . . , f(x) 0 (mod nk).

33.6 Powers of an element

Just as it is natural to consider the multiples of a given element a, modulo n, it is often natural to consider the sequence of powers of a, modulo n, where :

a0,a1,a2,a3,... ,

(33.31)

modulo n. Indexing from 0, the 0th value in this sequence is a0 mod n = 1, and the ith value is ai mod n. For example, the powers of 3 modulo 7 are

    i     0  1  2  3  4  5  6  7  8  9  10  11  ...

---------------------------------------------------

3i mod 7  1  3  2  6  4  5  1  3  2  6   4   5  ...

whereas the powers of 2 modulo 7 are

    i     0  1  2  3  4  5  6  7  8  9  10  11  ...

---------------------------------------------------

2i mod 7  1  2  4  1  2  4  1  2  4  1   2   4  ...

In this section, let a denote the subgroup of generated by a, and let ordn (a) (the "order of a, modulo n") denote the order of a in . For example, 2 = {1, 2, 4} in , and ord7 (2) = 3. Using the definition of the Euler phi function (n) as the size of (see Section 33.3), we now translate Corollary 33.19 into the notation of to obtain Euler's theorem and specialize it to , where p is prime, to obtain Fermat's theorem.

Theorem 33.30

For any integer n > 1,

(33.32)

Theorem 33.31

If p is prime, then

(33.33)

Proof By equation (33.21), (p) = p - 1 if p is prime.

This corollary applies to every element in Zp except 0, since . For all a Zp, however, we have ap a (mod p) if p is prime.

If , then every element in is a power of g, modulo n, and we say that g is a primitive root or a generator of . For example, 3 is a primitive root, modulo 7. If possesses a primitive root, we say that the group is cyclic. We omit the proof of the following theorem, which is proven by Niven and Zuckerman [151].

Theorem 33.32

The values of n > 1 for which is cyclic are 2, 4, pe, and 2pe, for all odd primes p and all positive integers e.

If g is a primitive root of and a is any element of , then there exists a z such that gz a (mod n). This z is called the discrete logarithm or index of a, modulo n, to the base g; we denote this value as indn,g(a).

Theorem 33.33

If g is a primitive root of , then the equation gx gy (mod n) holds if and only if the equation x y (mod (n)) holds.

Proof Suppose first that x y (mod (n)). Then, x = y + k(n) for some integer k. Therefore,

gx    gy+k(n)        (mod n)

  gy  (g(n))k  (mod n)

  gy  lk        (mod n)

  gy              (mod n).

Conversely, suppose that gx gy (mod n). Because the sequence of powers of g generates every element of g and |g| = (n), Corollary 33.18 implies that the sequence of powers of g is periodic with period (n). Therefore, if gx gy (mod n), then we must have x y (mod (n)).

Taking discrete logarithms can sometimes simplify reasoning about a modular equation, as illustrated in the proof of the following theorem.

Theorem 33.34

If p is an odd prime and e 1, then the equation

x2  1 (mod pe)

(33.34)

has only two solutions, namely x = 1 and x = - 1.

Proof Let n = pe. Theorem 33.32 implies that has a primitive root g. Equation (33.34) can be written

(gindn,g(x))2  gindn,g(l)  (mod n) .

(33.35)

After noting that indn,g(1) = 0, we observe that Theorem 33.33 implies that equation (33.35) is equivalent to

2  indn,g (x)  0 (mod (n)) .

(33.36)

To solve this equation for the unknown indn,g(x), we apply the methods of Section 33.4. Letting d = gcd(2, (n)) = gcd(2, (p - 1)pe-1) = 2, and noting that d | 0, we find from Theorem 33.24 that equation (33.36) has exactly d = 2 solutions. Therefore, equation (33.34) has exactly 2 solutions, which are x = 1 and x = - 1 by inspection.

A number x is a nontrivial square root of 1, modulo n, if it satisfies the equation x2 1 (mod n) but x is equivalent to neither of the two "trivial" square roots: 1 or -1, modulo n. For example, 6 is a nontrivial square root of 1, modulo 35. The following corollary to Theorem 33.34 will be used in the correctness proof for the Miller-Rabin primality-testing procedure in Section 33.8.

Corollary 33.35

If there exists a nontrivial square root of 1, modulo n, then n is composite.

Proof This corollary is just the contrapositive to Theorem 33.34. If there exists a nontrivial square root of 1, modulo n, then n can't be a prime or a power of a prime.

Raising to powers with repeated squaring

A frequently occurring operation in number-theoretic computations is raising one number to a power modulo another number, also known as modular exponentiation. More precisely, we would like an efficient way to compute ab mod n, where a and b are nonnegative integers and n is a positive integer. Modular exponentiation is also an essential operation in many primality-testing routines and in the RSA public-key cryptosystem. The method of repeated squaring solves this problem efficiently using the binary representation of b.

Let bk, bk-1, . . . , b1,b0 be the binary representation of b. (That is, the binary representation is k + 1 bits long, bk is the most significant bit, and b0 is the least significant bit.) The following procedure computes ac mod n as c is increased by doublings and incrementations from 0 to b.

MODULAR-EXPONENTIATION(a,b,n)

1  c  0

2  d  1

3  let bk, bk-1, . . . , b0 be the binary representation of b

4  for i  k downto 0

5       do c  2c

6          d  (d  d) mod n

7          if bi = 1

8             then c  c + 1

9                  d  (d  a) mod n

10 return d

Each exponent computed in a sequence is either twice the previous exponent or one more than the previous exponent; the binary representation

i   9   8   7    6    5    4    3    2    1    0

-------------------------------------------------

bi  1   0   0    0    1    1    0    0    0    0

c   1   2   4    8    17   35   70  140  280  560

d   7  49  157  526  160  241  298  166   67   1

Figure 33.4 The results of MODULAR-EXPONENTIATION when computing ab (mod n), where a = 7, b = 560 = 1000110000, and n = 561. The values are shown after each execution of the for loop. The final result is 1.

of b is read from right to left to control which operations are performed. Each iteration of the loop uses one of the identities

a2c mod n  =  (ac)2 mod n ,

a2c+l mod n  =  a . (ac)2 mod n ,

depending on whether bi = 0 or 1, respectively. The essential use of squaring in each iteration explains the name "repeated squaring." Just after bit bi is read and processed, the value of c is the same as the prefix bk, bk-1, . . . , bi of the binary representation of b. As an example, for a = 7, b = 560, and n = 561, the algorithm computes the sequence of values modulo 561 shown in Figure 33.4; the sequence of exponents used is shown in row c of the table.

The variable c is not really needed by the algorithm but is included for explanatory purposes: the algorithm preserves the invariant that d = ac mod n as it increases c by doublings and incrementations until c = b. If the inputs a, b, and n are -bit numbers, then the total number of arithmetic operations required is O() and the total number of bit operations required is O(3).

Exercises

33.6-1

Draw a table showing the order of every element in . Pick the smallest primitive root g and compute a table giving ind11,g (x) for all x .

33.6-2

Give a modular exponentiation algorithm that examines the bits of b from right to left instead of left to right.

33.6-3

Explain how to compute a -1 mod n for any using the procedure MODULAR-EXPONENTIATION, assuming that you know (n).

33.7 The RSA public-key cryptosystem

A public-key cryptosystem can be used to encrypt messages sent between two communicating parties so that an eavesdropper who overhears the encrypted messages will not be able to decode them. A public-key cryptosystem also enables a party to append an unforgeable "digital signature" to the end of an electronic message. Such a signature is the electronic version of a handwritten signature on a paper document. It can be easily checked by anyone, forged by no one, yet loses its validity if any bit of the message is altered. It therefore provides authentication of both the identity of the signer and the contents of the signed message. It is the perfect tool for electronically signed business contracts, electronic checks, electronic purchase orders, and other electronic communications that must be authenticated.

The RSA public-key cryptosystem is based on the dramatic difference between the ease of finding large prime numbers and the difficulty of factoring the product of two large prime numbers. Section 33.8 describes an efficient procedure for finding large prime numbers, and Section 33.9 discusses the problem of factoring large integers.

Public-key cryptosystems

In a public-key cryptosystem, each participant has both a public key and a secret key. Each key is a piece of information. For example, in the RSA cryptosystem, each key consists of a pair of integers. The participants "Alice" and "Bob" are traditionally used in cryptography examples; we denote their public and secret keys as PA, SA for Alice and PB, SB for Bob.

Each participant creates his own public and secret keys. Each keeps his secret key secret, but he can reveal his public key to anyone or even publish it. In fact, it is often convenient to assume that everyone's public key is available in a public directory, so that any participant can easily obtain the public key of any other participant.

The public and secret keys specify functions that can be applied to any message. Let denote the set of permissible messages. For example, might be the set of all finite-length bit sequences. We require that the public and secret keys specify one-to-one functions from to itself. The function corresponding to Alice's public key PA is denoted PA( ), and the function corresponding to her secret key SA is denoted SA( ). The functions PA( ) and SA( ) are thus permutations of . We assume that the functions PA( ) and SA( ) are efficiently computable given the corresponding key PA or SA.

The public and secret keys for any participant are a "matched pair" in that they specify functions that are inverses of each other. That is,

M  =  SA(PA(M)) ,

(33.37)

M  =  PA(SA(M))

(33.38)

for any message . Transforming M with the two keys PA and SA successively, in either order, yields the message M back.

In a public-key cryptosystem, it is essential that no one but Alice be able to compute the function SA( ) in any practical amount of time. The privacy of mail that is encrypted and sent to Alice and the authenticity of Alice's digital signatures rely on the assumption that only Alice is able to compute SA( ). This requirement is why Alice keeps SA secret; if she does not, she loses her uniqueness and the cryptosystem cannot provide her with unique capabilities. The assumption that only Alice can compute SA( ) must hold even though everyone knows PA and can compute PA( ), the inverse function to SA( ), efficiently. The major difficulty in designing a workable public-key cryptosystem is in figuring out how to create a system in which we can reveal a transformation PA( ) without thereby revealing how to compute the corresponding inverse transformation SA( ).

In a public-key cryptosystem, encryption works as follows. Suppose Bob wishes to send Alice a message M encrypted so that it will look like unintelligible gibberish to an eavesdropper. The scenario for sending the message goes as follows.

Bob obtains Alice's public key PA (from a public directory or directly from Alice).

Bob computes the ciphertext C = PA(M) corresponding to the message M and sends C to Alice.

When Alice receives the ciphertext C, she applies her secret key SA to retrieve the original message: M = SA(C).

Figure 33.5 illustrates this process. Because SA( ) and PA( ) are inverse functions, Alice can compute M from C. Because only Alice is able to compute SA( ), only Alice can compute M from C. The encryption of M using PA( ) has protected M from disclosure to anyone except Alice.

Digital signatures are similarly easy to implement in a public-key cryptosystem. Suppose now that Alice wishes to send Bob a digitally signed response M'. The digital-signature scenario proceeds as follows.

Alice computes her digital signature for the message M' using her secret key SA and the equation = SA(M').

Alice sends the message/signature pair (M',) to Bob.

When Bob receives (M',), he can verify that it originated from Alice using Alice's public key by verifying the equation M' = PA(). (Presumably, M' contains Alice's name, so Bob knows whose public key to use.) If the equation holds, then Bob concludes that the message M' was actually signed by Alice. If the equation doesn't hold, Bob concludes either that the message M' or the digital signature was corrupted by transmission errors or that the pair (M', ) is an attempted forgery.

Figure 33.5 Encryption in a public key system. Bob encrypts the message M using Alice's public key PA and transmits the resulting ciphertext C = PA(M) to Alice. An eavesdropper who captures the transmitted ciphertext gains no information about M. Alice receives C and decrypts it using her secret key to obtain the original message M = SA(C).

Figure 33.6 Digital signatures in a public-key system. Alice signs the message M' by appending her digital signature = SA(M') to it. She transmits the message/signature pair (M', ) to Bob, who verifies it by checking the equation M' = PA(). If the equation holds, he accepts (M',) as a message that has been signed by Alice.

Figure 33.6 illustrates this process. Because a digital signature provides both authentication of the signer's identity and authentication of the contents of the signed message, it is analogous to a handwritten signature at the end of a written document.

An important property of a digital signature is that it is verifiable by anyone who has access to the signer's public key. A signed message can be verified by one party and then passed on to other parties who can also verify the signature. For example, the message might be an electronic check from Alice to Bob. After Bob verifies Alice's signature on the check, he can give the check to his bank, who can then also verify the signature and effect the appropriate funds transfer.

We note that a signed message is not encrypted; the message is "in the clear" and is not protected from disclosure. By composing the above protocols for encryption and for signatures, we can create messages that are both signed and encrypted. The signer first appends his digital signature to the message and then encrypts the resulting message/signature pair with the public key of the intended recipient. The recipient decrypts the received message with his secret key to obtain both the original message and its digital signature. He can then verify the signature using the public key of the signer. The corresponding combined process using paper-based systems is to sign the paper document and then seal the document inside a paper envelope that is opened only by the intended recipient.

The RSA cryptosystem

In the RSA public-key cryptosystem, a participant creates his public and secret keys with the following procedure.

1. Select at random two large prime numbers p and q. The primes p and q might be, say, 100 decimal digits each.

2. Compute n by the equation n = pq.

3. Select a small odd integer e that is relatively prime to (n), which, by equation (33.20), equals (p-1)(q - 1).

4. Compute d as the multiplicative inverse of e, modulo (n). (Corollary 33.26 guarantees that d exists and is uniquely defined.)

5. Publish the pair P = (e, n,) as his RSA public key.

6. Keep secret the pair S = (d, n) as his RSA secret key.

For this scheme, the domain is the set Zn. The transformation of a message M associated with a public key P = (e, n) is

P(M) = Me (mod n) .

(33.39)

The transformation of a ciphertext C associated with a secret key S = (d, n) is

S(C) = Cd (mod n) .

(33.40)

These equations apply to both encryption and signatures. To create a signature, the signer applies his secret key to the message to be signed, rather than to a ciphertext. To verify a signature, the public key of the signer is applied to it, rather than to a message to be encrypted.

The public-key and secret-key operations can be implemented using the procedure MODULAR-EXPONENTIATION described in Section 33.6. To analyze the running time of these operations, assume that the public key (e,n) and secret key (d,n) satisfy |e| = O(1), |d| = |n| = . Then, applying a public key requires O(1) modular multiplications and uses O(2) bit operations. Applying a secret key requires O() modular multiplications, using O(3) bit operations.

Theorem 33.36

The RSA equations (33.39) and (33.40) define inverse transformations of Zn satisfying equations (33.37) and (33.38).

Proof From equations (33.39) and (33.40), we have that for any M Zn,

P(S(M)) = S(P(M)) = Med (mod n).

Since e and d are multiplicative inverses modulo (n) = (p - 1)(q - 1),

ed = 1 + k(p - 1)(q - 1)

for some integer k. But then, if (mod p), we have (using Theorem 33.31)

Med    M(Mp - 1)k(q - 1)  (mod p)

  M(1)k(q - 1)       (mod p)

  M                (mod p).

Also, Med M (mod p) if M 0 (mod p). Thus,

Med  M (mod p)

for all M. Similarly,

Med  M (mod q)

for all M. Thus, by Corollary 33.29 to the Chinese remainder theorem,

Med  M (mod n)

for all M.

The security of the RSA cryptosystem rests in large part on the difficulty of factoring large integers. If an adversary can factor the modulus n in a public key, then he can derive the secret key from the public key, using the knowledge of the factors p and q in the same way that the creator of the public key used them. So if factoring large integers is easy, then breaking the RSA cryptosystem is easy. The converse statement, that if factoring large integers is hard, then breaking RSA is hard, is unproven. After a decade of research, however, no easier method has been found to break the RSA public-key cryptosystem than to factor the modulus n. And as we shall see in Section 33.9, the factoring of large integers is surprisingly difficult. By randomly selecting and multiplying together two 100-digit primes, one can create a public key that cannot be "broken" in any feasible amount of time with current technology. In the absence of a fundamental breakthrough in the design of number-theoretic algorithms, the RSA cryptosystem is capable of providing a high degree of security in applications.

In order to achieve security with the RSA cryptosystem, however, it is necessary to work with integers that are 100-200 digits in length, since factoring smaller integers is not impractical. In particular, we must be able to find large primes efficiently, in order to create keys of the necessary length. This problem is addressed in Section 33.8.

For efficiency, RSA is often used in a "hybrid" or "key-management" mode with fast non-public-key cryptosystems. With such a system, the encryption and decryption keys are identical. If Alice wishes to send a long message M to Bob privately, she selects a random key K for the fast non-public-key cryptosystem and encrypts M using K, obtaining ciphertext C. Here, C is as long as M, but K is quite short. Then, she encrypts K using Bob's public RSA key. Since K is short, computing PB(K) is fast (much faster than computing PB(M)). She then transmits (C, PB(K)) to Bob, who decrypts PB(K) to obtain K and then uses K to decrypt C, obtaining M.

A similar hybrid approach is often used to make digital signatures efficiently. In this approach, RSA is combined with a public one-way hash function h--a function that is easy to compute but for which it is computationally infeasible to find two messages M and M' such that h(M) = h(M'). The value h(M) is a short (say, 128-bit) "fingerprint" of the message M. If Alice wishes to sign a message M, she first applies h to M to obtain the fingerprint h(M), which she then signs with her secret key. She sends (M, SA(h(M))) to Bob as her signed version of M. Bob can verify the signature by computing h(M) and verifying that PA applied to SA(h(M)) as received equals h(M). Because no one can create two messages with the same fingerprint, it is impossible to alter a signed message and preserve the validity of the signature.

Finally, we note that the use of certificates makes distributing public keys much easier. For example, assume there is a "trusted authority" T whose public key is known by everyone. Alice can obtain from T a signed message (her certificate) stating that "Alice's public key is PA". This certificate is "self-authenticating" since everyone knows PT. Alice can include her certificate with her signed messages, so that the recipient has Alice's public key immediately available in order to verify her signature. Because her key was signed by T, the recipient knows that Alice's key is really Alice's.

Exercises

33.7-1

Consider an RSA key set with p = 11, q = 29, n = 319, and e = 3. What value of d should be used in the secret key? What is the encryption of the message M = 100?

33.7-2

Prove that if Alice's public exponent e is 3 and an adversary obtains Alice's secret exponent d, then the adversary can factor Alice's modulus n in time polynomial in the number of bits in n. (Although you are not asked to prove it, you may be interested to know that this result remains true even if the condition e = 3 is removed. See Miller [147].)

33.7-3

Prove that RSA is multiplicative in the sense that

PA(M1)PA(M2)  PA(M1M2) (mod n) .

Use this fact to prove that if an adversary had a procedure that could efficiently decrypt 1 percent of messages randomly chosen from Zn and encrypted with PA, then he could employ a probabilistic algorithm to decrypt every message encrypted with PA with high probability.

* 33.8 Primality testing

In this section, we consider the problem of finding large primes. We begin with a discussion of the density of primes, proceed to examine a plausible (but incomplete) approach to primality testing, and then present an effective randomized primality test due to Miller and Rabin.

The density of prime numbers

For many applications (such as cryptography), we need to find large "random" primes. Fortunately, large primes are not too rare, so that it is not too time-consuming to test random integers of the appropriate size until a prime is found. The prime distribution function (n) specifies the number of primes that are less than or equal to n. For example, (10) = 4, since there are 4 prime numbers less than or equal to 10, namely, 2, 3, 5, and 7. The prime number theorem gives a useful approximation to (n).

Theorem 33.37

The approximation n/ ln n gives reasonably accurate estimates of (n) even for small n. For example, it is off by less than 6% at n = 109, where (n) = 50,847,478 and n/ ln n = 48,254,942. (To a number theorist, 109 is a small number.)

We can use the prime number theorem to estimate the probability that a randomly chosen integer n will turn out to be prime as 1/ ln n. Thus, we would need to examine approximately ln n integers chosen randomly near n in order to find a prime that is of the same length as n. For example, to find a 100-digit prime might require testing approximately ln 10100 230 randomly chosen 100-digit numbers for primality. (This figure can be cut in half by choosing only odd integers.)

In the remainder of this section, we consider the problem of determining whether or not a large odd integer n is prime. For notational convenience, we assume that n has the prime factorization

(33.41)

where r 1 and p1, p2,. . . ., pr are the prime factors of n. Of course, n is prime if and only if r = 1 and e1 = 1.

One simple approach to the problem of testing for primality is trial division. We try dividing n by each integer . (Again, even integers greater than 2 may be skipped.) It is easy to see that n is prime if and only if none of the trial divisors divides n. Assuming that each trial division takes constant time, the worst-case running time is , which is exponential in the length of n. (Recall that if n is encoded in binary using bits, then = lg(n + 1), and so .) Thus, trial division works well only if n is very small or happens to have a small prime factor. When it works, trial division has the advantage that it not only determines whether n is prime or composite but actually determines the prime factorization if n is composite.

In this section, we are interested only in finding out whether a given number n is prime; if n is composite, we are not concerned with finding its prime factorization. As we shall see in Section 33.9, computing the prime factorization of a number is computationally expensive. It is perhaps surprising that it is much easier to tell whether or not a given number is prime than it is to determine the prime factorization of the number if it is not prime.

Pseudoprimality testing

We now consider a method for primality testing that "almost works" and in fact is good enough for many practical applications. A refinement of this method that removes the small defect will be presented later. Let denote the nonzero elements of Zn:

If n is prime, then .

We say that n is a base-a pseudoprime if n is composite and

an - 1  1 (mod n).

(33.42)

Fermat's theorem (Theorem 33.31) implies that if n is prime, then n satisfies equation (33.42) for every a in . Thus, if we can find any such that n does not satisfy equation (33.42), then n is certainly composite. Surprisingly, the converse almost holds, so that this criterion forms an almost perfect test for primality. We test to see if n satisfies equation (33.42) for a = 2. If not, we declare n to be composite. Otherwise, we output a guess that n is prime (when, in fact, all we know is that n is either prime or a base-2 pseudoprime).

The following procedure pretends in this manner to be checking the primality of n. It uses the procedure MODULAR-EXPONENTIATION from Section 33.6. The input n is assumed to be an integer larger than 2.

This procedure can make errors, but only of one type. That is, if it says that n is composite, then it is always correct. If it says that n is prime, however, then it makes an error only if n is a base-2 pseudoprime.

How often does this procedure err? Surprisingly rarely. There are only 22 values of n less than 10,000 for which it errs; the first four such values are 341, 561, 645, and 1105. It can be shown that the probability that this program makes an error on a randomly chosen -bit number goes to zero as . Using more precise estimates due to Pomerance [157] of the number of base-2 pseudoprimes of a given size, we may estimate that a randomly chosen 50-digit number that is called prime by the above procedure has less than one chance in a million of being a base-2 pseudoprime, and a randomly chosen 100-digit number that is called prime has less than one chance in 1013 of being a base-2 pseudoprime.

Unfortunately, we cannot eliminate all the errors by simply checking equation (33.42) for a second base number, say a = 3, because there are composite integers n that satisfy equation (33.42) for all . These integers are known as Carmichael numbers. The first three Carmichael numbers are 561, 1105, and 1729. Carmichael numbers are extremely rare; there are, for example, only 255 of them less than 100,000,000. Exercise 33.8-2 helps explain why they are so rare.

We next show how to improve our primality test so that it won't be fooled by Carmichael numbers.

The Miller-Rabin randomized primality test

The Miller-Rabin primality test overcomes the problems of the simple test PSEUDOPRIME with two modifications:

It tries several randomly chosen base values a instead of just one base value.

While computing each modular exponentiation, it notices if a nontrivial square root of 1, modulo n, is ever discovered. If so, it stops and outputs COMPOSITE. Corollary 33.35 justifies detecting composites in this manner.

The pseudocode for the Miller-Rabin primality test follows. The input n > 2 is the odd number to be tested for primality, and s is the number of randomly chosen base values from to be tried. The code uses the random-number generator RANDOM from Section 8.3: RANDOM(1, n - 1) returns a randomly chosen integer a satisfying 1 a n - 1. The code uses an auxiliary procedure WITNESS such that WITNESS(a, n) is TRUE if and only if a is a "witness" to the compositeness of n--that is, if it is possible using a to prove (in a manner that we shall see) that n is composite. The test WITNESS(a, n) is similar to, but more effective than, the test

that formed the basis (using a = 2) for PSEUDOPRIME. We first present and justify the construction of WITNESS, and then show how it is used in the Miller-Rabin primality test.

WITNESS(a,n)

1   let bk, bk-1,..., b0 be the binary representation of n - 1

2   d  1

3   for i  k downto 0

4         do x  d

5            d  (d  d) mod n

6            if d = 1 and x  1 and x  n - 1

7               then return TRUE

8            if bi = 1

9               then d  (d  a) mod n

10  if d  1

11      then return TRUE

12  return FALSE

This pseudocode for WITNESS is based on the pseudocode of the procedure MODULAR-EXPONENTIATION. Line 1 determines the binary representation of n - 1, which will be used in raising a to the (n - 1)st power. Lines 3-9 compute d as an-1 mod n. The method used is identical to that employed by MODULAR-EXPONENTIATION. Whenever a squaring step is performed on line 5, however, lines 6-7 check to see if a nontrivial square root of 1 has just been discovered. If so, the algorithm stops and returns TRUE. Lines 10-11 return TRUE if the value computed for an - 1 mod n is not equal to 1, just as the PSEUDOPRIME procedure returns COMPOSITE in this case.

We now argue that if WITNESS(a, n) returns TRUE, then a proof that n is composite can be constructed using a.

If WITNESS returns TRUE from line 11, then it has discovered that d = an - 1 mod n 1. If n is prime, however, we have by Fermat's theorem (Theorem 33.31) that an-1 1 (mod n) for all . Therefore, n cannot be prime, and the equation an - 1 mod 1 1 is a proof of this fact.

If WITNESS returns TRUE from line 7, then it has discovered that x is a nontrivial square root of 1, modulo n, since we have that (mod n) yet x2 1 (mod n). Corollary 33.35 states that only if n is composite can there be a nontrivial square root of 1 modulo n, so that a demonstration that x is a nontrivial square root of 1 modulo n is a proof that n is composite.

This completes our proof of the correctness of WITNESS. If the invocation WITNESS(a, n) outputs TRUE, then n is surely composite, and a proof that n is composite can be easily determined from a and n. We now examine the Miller-Rabin primality test based on the use of WITNESS.

The procedure MILLER-RABIN is a probabilistic search for a proof that n is composite. The main loop (beginning on line 1) picks s random values of a from (line 2). If one of the a's picked is a witness to the compositeness of n, then MILLER-RABIN outputs COMPOSITE on line 4. Such an output is always correct, by the correctness of WITNESS. If no witness can be found in s trials, MILLER-RABIN assumes that this is because there are no witnesses to be found, and n is therefore prime. We shall see that this output is likely to be correct if s is large enough, but that there is a small chance that the procedure may be unlucky in its choice of a's and that witnesses do exist even though none has been found.

To illustrate the operation of MILLER-RABIN, let n be the Carmichael number 561. Supposing that a = 7 is chosen as a base, Figure 33.4 shows that WITNESS discovers a nontrivial square root of 1 in the last squaring step, since a280 67 (mod n) and a560 1 (mod n). Therefore, a = 7 is a witness to the compositeness of n, WITNESS(7, n) returns TRUE, and MILLER-RABIN returns COMPOSITE.

If n is a -bit number, MILLER-RABIN requires O(s) arithmetic operations and O(s3) bit operations, since it requires asymptotically no more work than s modular exponentiations.

Error rate of the Miller-Rabin primality test

If MILLER-RABIN outputs PRIME, then there is a small chance that it has made an error. Unlike PSEUDOPRIME, however, the chance of error does not depend on n; there are no bad inputs for this procedure. Rather, it depends on the size of s and the "luck of the draw" in choosing base values a. Also, since each test is more stringent than a simple check of equation (33.42), we can expect on general principles that the error rate should be small for randomly chosen integers n. The following theorem presents a more precise argument.

Theorem 33.38

If n is an odd composite number, then the number of witnesses to the compositeness of n is at least (n - 1)/2.

Proof The proof shows that the number of nonwitnesses is no more than (n - 1)/2, which implies the theorem.

We first observe that any nonwitness must be a member of , since every nonwitness a satisfies an - 1 1 (mod n), yet if gcd(a, n) = d > 1, then there are no solutions x to the equation ax 1 (mod n), by Corollary 33.21. (In particular, x = an - 2 is not a solution.) Thus every member of is a witness to the compositeness of n.

To complete the proof, we show that the nonwitnesses are all contained in a proper subgroup B of . By Corollary 33.16, we then have , we obtain |B| (n - 1)/2. Therefore, the number of nonwitnesses is at most (n - 1)/2, so that the number of witnesses must be at least (n - 1)/2.

We now show how to find a proper subgroup B of containing all of the nonwitnesses. We break the proof into two cases.

Case 1: There exists an such that

(33.43)

Let . Since B is closed under multiplication modulo n, we have that B is a subgroup of by Theorem 33.14. Note that every nonwitness belongs to B, since a nonwitness a satisfies an - 1 1 (mod n). Since , we have that B is a proper subgroup of .

Case 2: For all ,

xn - 1  1 (mod n).

(33.44)

In this case, n cannot be a prime power. To see why, let n = pe, where p is an odd prime and e > 1. Theorem 33.32 implies that contains an element g such that . But then equation (33.44) and the discrete logarithm theorem (Theorem 33.33, taking y = 0) imply that n - 1 0 (mod (n)), or

(p - 1) pe - 1 | pe - 1.

This condition fails for e > 1, since the left-hand side is then divisible by p but the right-hand side is not. Thus, n is not a prime power.

Since n is not a prime power, we decompose it into a product n1n2, where n1 and n2 are greater than 1 and relatively prime to each other. (There may be several ways to do this, and it doesn't matter which one we choose. For example, if , then we can choose .)

Define t and u so that n - 1 = 2tu, where t 1 and u is odd. For any , consider the sequence

â = au, a2u, a22u, . . . , a2tu ,

(33.45)

where all elements are computed modulo n. Since 2t | n - 1, the binary representation of n - 1 ends in t zeros, and the elements of â are the last t + 1 values of d computed by WITNESS during a computation of an-1 mod n; the last t operations are squarings.

Now find a j {0, 1, . . . , t} such that there exists a such that v2ju -1 (mod n); j should be as large as possible. Such a j certainly exists since u is odd: we can choose v = - 1 and j = 0. Fix to satisfy the given condition. Let

Since B is closed under multiplication modulo n, it is a subgroup of . Therefore, |B| divides . Every nonwitness must be a member of B, since the sequence (33.45) produced by a nonwitness must either be all 1's or else contain a - 1 no later than the jth position, by the maximality of j.

We now use the existence of v to demonstrate that there exists a . Since v2ju -1 (mod n), we have v2ju -1 (mod n1) by Corollary 33.29. By Corollary 33.28, there is a w simultaneously satisfying the equations

w    v (mod n1) ,

w    1 (mod n2) .

Therefore,

w2ju    -1 (mod n1) ,

w2ju    1 (mod n2) .

Together with Corollary 33.29, these equations imply that

(33.46)

and so w B. Since , we have that . Thus, . We conclude that B is a proper subgroup of .

In either case, we see that the number of witnesses to the compositeness of n is at least (n - 1)/2.

Theorem 33.39

For any odd integer n > 2 and positive integer s, the probability that MILLER-RABIN(n, s) errs is at most 2-s.

Proof Using Theorem 33.38, we see that if n is composite, then each execution of the loop of lines 1-4 has a probability of at least 1/2 of discovering a witness x to the compositeness of n. MILLER-RABIN only makes an error if it is so unlucky as to miss discovering a witness to the compositeness of n on each of the s iterations of the main loop. The probability of such a string of misses is at most 2-s.

Thus, choosing s = 50 should suffice for almost any imaginable application. If we are trying to find large primes by applying MILLER-RABIN to randomly chosen large integers, then it can be argued (although we won't do so here) that choosing a small value of s (say 3) is very unlikely to lead to erroneous results. That is, for a randomly chosen odd composite integer n, the expected number of nonwitnesses to the compositeness of n is likely to be much smaller than (n - 1)/2. If the integer n is not chosen randomly, however, the best that can be proven is that the number of nonwitnesses is at most (n - 1)/4, using an improved version of Theorem 33.39. Furthermore, there do exist integers n for which the number of nonwitnesses is (n - 1)/4.

Exercises

33.8-1

Prove that if an integer n > 1 is not a prime or a prime power, then there exists a nontrivial square root of 1 modulo n.

33.8-2

It is possible to strengthen Euler's theorem slightly to the form

where (n) is defined by

(33.47)

Prove that (n) | (n). A composite number n is a Carmichael number if (n) |n - 1. The smallest Carmichael number is 561 = 3 11 17; here, (n) = 1cm(2, 10, 16) = 80, which divides 560. Prove that Carmichael numbers must be both "square-free" (not divisible by the square of any prime) and the product of at least three primes. For this reason, they are not very common.

33.8-3

Prove that if x is a nontrivial square root of 1, modulo n, then gcd(x - 1, n) and gcd(x + 1, n) are both nontrivial divisors of n.

* 33.9 Integer factorization

Suppose we have an integer n that we wish to factor, that is, to decompose into a product of primes. The primality test of the preceding section would tell us that n is composite, but it usually doesn't tell us the prime factors of n. Factoring a large integer n seems to be much more difficult than simply determining whether n is prime or composite. It is infeasible with today's supercomputers and the best algorithms to date to factor an arbitrary 200-decimal-digit number.

Pollard's rho heuristic

Trial division by all integers up to B is guaranteed to factor completely any number up to B2. For the same amount of work, the following procedure will factor any number up to B4 (unless we're unlucky). Since the procedure is only a heuristic, neither its running time nor its success is guaranteed, although the procedure is very effective in practice.

POLLARD-RHO(n)

1   i  1

2   x1  RANDOM(0, n - 1)

3   y  x1

4   k  2

5   while TRUE

6       do i  i + l

8          d  gcd(y - xi, n)

9          if d  1 and d  n

10             then print d

11          if i = k

12             then y  xi

13                  k  2k

The procedure works as follows. Lines 1-2 initialize i to 1 and x1 to a randomly chosen value in Zn. The while loop beginning on line 5 iterates forever, searching for factors of n. During each iteration of the while loop, the recurrence

(33.48)

is used on line 7 to produce the next value of xi in the infinite sequence

x1, x2, x3, x4,... ;

(33.49)

the value of i is correspondingly incremented on line 6. The code is written using subscripted variables xi for clarity, but the program works the same if all of the subscripts are dropped, since only the most recent value of xi need be maintained.

Every so often, the program saves the most recently generated xi value in the variable y. Specifically, the values that are saved are the ones whose subscripts are powers of 2:

x1, x2, x4, x8, x16,... .

Line 3 saves the value x1, and line 12 saves xk whenever i is equal to k. The variable k is initialized to 2 in line 4, and k is doubled in line 13 whenever y is updated. Therefore, k follows the sequence 1, 2, 4, 8, . . . and always gives the subscript of the next value xk to be saved in y.

Lines 8-10 try to find a factor of n, using the saved value of y and the current value of xi. Specifically, line 8 computes the greatest common divisor d = gcd(y - xi, n). If d is a nontrivial divisor of n (checked in line 9), then line 10 prints d.

This procedure for finding a factor may seem somewhat mysterious at first. Note, however, that POLLARD-RHO never prints an incorrect answer; any number it prints is a nontrivial divisor of n. POLLARD-RHO may not print anything at all, though; there is no guarantee that it will produce any results. We shall see, however, that there is good reason to expect POLLARD-RHO to print a factor p of n after approximately iterations of the while loop. Thus, if n is composite, we can expect this procedure to discover enough divisors to factor n completely after approximately n1/4 updates, since every prime factor p of n except possibly the largest one is less than .

We analyze the behavior of this procedure by studying how long it takes a random sequence modulo n to repeat a value. Since Zn is finite, and since each value in the sequence (33.49) depends only on the previous value, the sequence (33.49) eventually repeats itself. Once we reach an xi such that xi = xj for some j < i, we are in a cycle, since xi+1 = xj+l, xi+2 = xj+2, and so on. The reason for the name "rho heuristic" is that, as Figure 33.7 shows, the sequence x1, x2, . . . , xj-1 can be drawn as the "tail" of the rho, and the cycle xj, xj+l, . . . , xi as the "body" of the rho.

Let us consider the question of how long it takes for the sequence of xi to repeat. This is not exactly what we need, but we shall then see how to modify the argument.

For the purpose of this estimation, let us assume that the function (x2 - 1) mod n behaves like a "random" function. Of course, it is not really random, but this assumption yields results consistent with the observed behavior of POLLARD-RHO. We can then consider each xi to have been independently drawn from Zn according to a uniform distribution on Zn. By the birthday-paradox analysis of Section 6.6.1, the expected number of steps taken before the sequence cycles is .

Now for the required modification. Let p be a nontrivial factor of n such that gcd(p, n/p) = 1. For example, if n has the factorization , then we may take p to be . (If e1 = 1, then p is just the smallest prime factor of n, a good example to keep in mind.) The sequence xi induces a corresponding sequence modulo p, where

for all i. Furthermore, it follows from the Chinese remainder theorem that

(33.50)

since

(x mod n) mod p = x mod p ,

by Exercise 33.1-6.

Figure 33.7 Pollard's rho heuristic. (a) The values produced by the recurrence mod 1387, starting with x1 = 2. The prime factorization of 1387 is 19 73. The heavy arrows indicate the iteration steps that are executed before the factor 19 is discovered. The light arrows point to unreached values in the iteration, to illustrate the "rho" shape. The shaded values are the y values stored by POLLARD-RHO. The factor 19 is discovered after x7 = 177 is reached, when gcd(63 - 177,1387) = 19 is computed. The first x value that would be repeated is 1186, but the factor 19 is discovered before this value is reached. (b) The values produced by the same recurrence, modulo 19. Every value xi given in part (a) is equivalent, modulo 19, to the value shown here. For example, both x4 = 63 and x7 = 177 are equivalent to 6, modulo 19. (c) The values produced by the same recurrence, modulo 73. Every value xi given in part (a) is equivalent, modulo 73, to the value shown here. By the Chinese remainder theorem, each node in part (a) corresponds to a pair of nodes, one from part (b) and one from part (c).

Reasoning as before, we find that the expected number of steps before the sequence repeats is . If p is small compared to n, the sequence may repeat much more quickly than the sequence xi. Indeed, the sequence repeats as soon as two elements of the sequence xi are merely equivalent modulo p, rather than equivalent modulo n. See Figure 33.7, parts (b) and (c), for an illustration.

Let t denote the index of the first repeated value in the sequence, and let u > 0 denote the length of the cycle that has been thereby produced. That is, t and u > 0 are the smallest values such that for all i 0. By the above arguments, the expected values of t and u are both . Note that if , then p | (xt+u+i - xt+i). Thus, gcd(xt+u+i - xt+i,n) > 1.

Therefore, once POLLARD-RHO has saved as y any value xk such that k t, then y mod p is always on the cycle modulo p. (If a new value is saved as y, that value is also on the cycle modulo p.) Eventually, k is set to a value that is greater than u, and the procedure then makes an entire loop around the cycle modulo p without changing the value of y. A factor of n is then discovered when xi "runs into" the previously stored value of y, modulo p, that is, when xi y (mod p).

Presumably, the factor found is the factor p, although it may occasionally happen that a multiple of p is discovered. Since the expected values of both t and u are , the expected number of steps required to produce the factor p is .

There are two reasons why this algorithm may not perform quite as expected. First, the heuristic analysis of the running time is not rigorous, and it is possible that the cycle of values, modulo p, could be much larger than . In this case, the algorithm performs correctly but much more slowly than desired. In practice, this seems not to be an issue. Second, the divisors of n produced by this algorithm might always be one of the trivial factors 1 or n. For example, suppose that n = pq, where p and q are prime. It can happen that the values of t and u for p are identical with the values of t and u for q, and thus the factor p is always revealed in the same gcd operation that reveals the factor q. Since both factors are revealed at the same time, the trivial factor pq = n is revealed, which is useless. Again, this seems not to be a real problem in practice. If necessary, the heuristic can be restarted with a different recurrence of the form mod n. (The values c = 0 and c = 2 should be avoided for reasons we won't go into here, but other values are fine.)

Of course, this analysis is heuristic and not rigorous, since the recurrence is not really "random." Nonetheless, the procedure performs well in practice, and it seems to be as efficient as this heuristic analysis indicates. It is the method of choice for finding small prime factors of a large number. To factor a -bit composite number n completely, we only need to find all prime factors less than n1/2, and so we expect POLLARD-RHO to require at most n1/4 = 2/4 arithmetic operations and at most n1/4, 3 = 2/43 bit operations. POLLARD-RHO's ability to find a small factor p of n with an expected number of arithmetic operations is often its most appealing feature.

Exercises

33.9-1

Referring to the execution history shown in Figure 33.7(a), when does POLLARD-RHO print the factor 73 of 1387?

33.9-2

Suppose that we are given a function f : Zn Zn and an initial value x0 Zn. Define xi = f(xi-1) for i = 1, 2, . . . . Let t and u > 0 be the smallest values such that xt+i = xt+u+i for i = 0, 1, . . . . In the terminology of Pollard's rho algorithm, t is the length of the tail and u is the length of the cycle of the rho. Give an efficient algorithm to determine t and u exactly, and analyze its running time.

33.9-3

How many steps would you expect POLLARD-RHO to require to discover a factor of the form pe, where p is prime and e > 1?

33.9-4

One disadvantage of POLLARD-RHO as written is that it requires one gcd computation for each step of the recurrence. It has been suggested that we might batch the gcd computations by accumulating the product of several xi in a row and then taking the gcd of this product with the saved y. Describe carefully how you would implement this idea, why it works, and what batch size you would pick as the most effective when working on a -bit number n.

Problems

33-1 Binary gcd algorithm

On most computers, the operations of subtraction, testing the parity (odd or even) of a binary integer, and halving can be performed more quickly than computing remainders. This problem investigates the binary gcd algorithm, which avoids the remainder computations used in Euclid's algorithm.

a. Prove that if a and b are both even, then gcd(a, b) = 2 gcd(a/2, b/2).

b. Prove that if a is odd and b is even, then gcd(a, b) = gcd(a, b/2).

c. Prove that if a and b are both odd, then gcd(a, b) = gcd((a - b)/2, b).

d. Design an efficient binary gcd algorithm for input integers a and b, where a b, that runs in O(lg(max(a, b))) time. Assume that each subtraction, parity test, and halving can be performed in unit time.

33-2 Analysis of bit operations in Euclid's algorithm

a. Show that using the ordinary "paper and pencil" algorithm for long division--dividing a by b, yielding a quotient q and remainder r--requires O((1 + lg q) lg b) bit operations.

b. Define (a, b) = (1 + lg a)(1 + lg b). Show that the number of bit operations performed by EUCLID in reducing the problem of computing gcd(a, b) to that of computing gcd(b, a mod b) is at most c((a, b) - (b, a mod b)) for some sufficiently large constant c > 0.

c. Show that EUCLID(a, b) requires O((a, b)) bit operations in general and O(2) bit operations when applied to two -bit inputs.

33-3 Three algorithms for Fibonacci numbers

This problem compares the efficiency of three methods for computing the nth Fibonacci number Fn, given n. Assume that the cost of adding, subtracting, or multiplying two numbers is O(1), independent of the size of the numbers.

a. Show that the running time of the straightforward recursive method for computing Fn based on recurrence (2.13) is exponential in n.

b. Show how to compute Fn in O(n) time using memoization.

c. Show how to compute Fn in O(lg n) time using only integer addition and multiplication. (Hint: Consider the matrix

and its powers.)

d. Assume now that adding two -bit numbers takes () time and that multiplying two -bit numbers takes (2) time. What is the running time of these three methods under this more reasonable cost measure for the elementary arithmetic operations?

33-4 Quadratic residues

Let p be an odd prime. A number is a quadratic residue if the equation x2 = a (mod p) has a solution for the unknown x.

a. Show that there are exactly (p - 1)/2 quadratic residues, modulo p.

b. If p is prime, we define the Legendre symbol , to be 1 if a is a quadratic residue modulo p and -1 otherwise. Prove that if , then

Give an efficient algorithm for determining whether or not a given number a is a quadratic residue modulo p. Analyze the efficiency of your algorithm.

c. Prove that if p is a prime of the form 4k + 3 and a is a quadratic residue in , then ak+l mod p is a square root of a, modulo p. How much time is required to find the square root of a quadratic residue a modulo p?

d. Describe an efficient randomized algorithm for finding a nonquadratic residue, modulo an arbitrary prime p. How many arithmetic operations does your algorithm require on average?

Chapter notes

Niven and Zuckerman [151] provide an excellent introduction to elementary number theory. Knuth [122] contains a good discussion of algorithms for finding the greatest common divisor, as well as other basic number-theoretic algorithms. Riesel [168] and Bach [16] provide more recent surveys of computational number theory. Dixon [56] gives an overview of factorization and primality testing. The conference proceedings edited by Pomerance [159] contains several nice survey articles.

Knuth [122] discusses the origin of Euclid's algorithm. It appears in Book 7, Propositions 1 and 2, of the Greek mathematician Euclid's Elements, which was written around 300 B.C. Euclid's description may have been derived from an algorithm due to Eudoxus around 375 B.C. Euclid's algorithm may hold the honor of being the oldest nontrivial algorithm; it is rivaled only by the Russian peasant's algorithm for multiplication (see Chapter 29), which was known to the ancient Egyptians.

Knuth attributes a special case of the Chinese remainder theorem (Theorem 33.27) to the Chinese mathematician , who lived sometime between 200 B.C. and A.D. 200--the date is quite uncertain. The same special case was given by the Greek mathematician Nichomachus around A.D. 100. It was generalized by Chhin Chiu-Shao in 1247. The Chinese remainder theorem was finally stated and proved in its full generality by L. Euler in 1734.

The randomized primality-testing algorithm presented here is due to Miller [147] and Rabin [166]; it is the fastest randomized primality-testing algorithm known, to within constant factors. The proof of Theorem 33.39 is a slight adaptation of one suggested by Bach [15]. A proof of a stronger result for MILLER-RABIN was given by Monier[148, 149]. Randomization appears to be necessary to obtain a polynomial-time primality-testing algorithm. The fastest deterministic primality-testing algorithm known is the Cohen-Lenstra version [45] of the primality test by Adleman, Pomerance, and Rumely [3]. When testing a number n of length lg(n + 1) for primality, it runs in (lg n)O(1g 1g 1g n) time, which is just slightly superpolynomial.

The problem of finding large "random" primes is nicely discussed in an article by Beauchemin, Brassard, Crépeau, Goutier, and Pomerance [20].

The concept of a public-key cryptosystem is due to Diffie and Hellman [54]. The RSA cryptosystem was proposed in 1977 by Rivest, Shamir, and Adleman [169]. Since then, the field of cryptography has blossomed. In particular, many new techniques have been developed for proving cryptosystems to be secure. For example, Goldwasser and Micali [86] show that randomization can be an effective tool in the design of secure public-key encryption schemes. For signature schemes, Goldwasser, Micali, and Rivest [88] present a digital-signature scheme for which every conceivable type of forgery is provably as difficult as factoring. Recently, Goldwasser, Micali, and Rackoff [87] introduced a class of "zero-knowledge" encryption schemes for which it can be proven (under certain reasonable assumptions) that no party learns more than he is supposed to learn from a communication.

The rho heuristic for integer factoring was invented by Pollard [156]. The version presented here is a variant proposed by Brent [35].

The best algorithms for factoring large numbers have a running time that grows roughly exponentially with the square root of the length of the number n to be factored. The quadratic-sieve factoring algorithm, due to Pomerance [158], is perhaps the most efficient such algorithm in general for large inputs. Although it is difficult to give a rigorous analysis of this algorithm, under reasonable assumptions we can derive a running-time estimate of L(n)1+o(1), where . The elliptic-curve method due to Lenstra [137] may be more effective for some inputs than the quadratic-sieve method, since, like Pollard's rho method, it can find a small prime factor p quite quickly. With this method, the time to find p is estimated to be .

Go to Chapter 34     Back to Table of Contents